Упражнение 40.10 ГДЗ Мерзляк 10 класс Углубленный уровень (Алгебра)
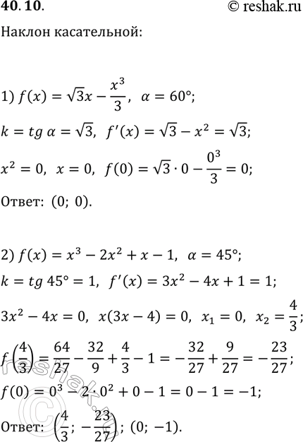
40.10. Найдите такую точку графика функции f, что проведённая в этой точке касательная образует с положительным направлением оси абсцисс угол ?, если:

Ниже вариант решения задания из учебника Мерзляк, Номировский, Поляков 10 класс, Просвещение:
40.10. Найдите такую точку графика функции f, что проведённая в этой точке касательная образует с положительным направлением оси абсцисс угол ?, если:
1) f(x)=v3x-x^3/3, ?=60°; 2) f(x)=x^3-2x^2+x-1, ?=45°.
