Упражнение 5.4 ГДЗ Мерзляк 10 класс Углубленный уровень (Алгебра)
5.4. Найдите область значений функции: 1) f(x)=x^2+3; 2) f(x)=6-vx; 3) f(x)=(vx)^2. *Цитирирование задания со ссылкой на учебник производится исключительно в учебных целях для лучшего понимания разбора решения задания.

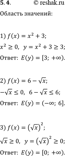
Ниже вариант решения задания из учебника Мерзляк, Номировский, Поляков 10 класс, Просвещение:
5.4. Найдите область значений функции:
1) f(x)=x^2+3; 2) f(x)=6-vx; 3) f(x)=(vx)^2.
