Упражнение 5.6 ГДЗ Мерзляк 10 класс Углубленный уровень (Алгебра)
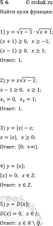
5.6. Найдите нули функции: 1) y=v(x-1)·v(x+1); 4) y={x}; 2) y=xv(x-1); 5) y=D(x). 3) y=|x|-x; *Цитирирование задания со ссылкой на учебник производится исключительно в учебных целях для лучшего понимания разбора решения задания.

Ниже вариант решения задания из учебника Мерзляк, Номировский, Поляков 10 класс, Просвещение:
5.6. Найдите нули функции:
1) y=v(x-1)·v(x+1); 4) y={x};
2) y=xv(x-1); 5) y=D(x).
3) y=|x|-x;
