Упражнение 5.3 ГДЗ Мерзляк 10 класс Углубленный уровень (Алгебра)
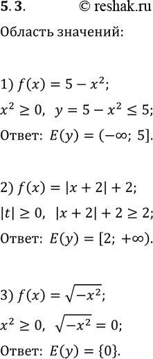
5.3. Найдите область значений функции: 1) f(x)=5-x^2; 2) f(x)=|x+2|+2; 3) f(x)=v(-x^2). *Цитирирование задания со ссылкой на учебник производится исключительно в учебных целях для лучшего понимания разбора решения задания.

Ниже вариант решения задания из учебника Мерзляк, Номировский, Поляков 10 класс, Просвещение:
5.3. Найдите область значений функции:
1) f(x)=5-x^2; 2) f(x)=|x+2|+2; 3) f(x)=v(-x^2).
