Упражнение 5.7 ГДЗ Мерзляк 10 класс Углубленный уровень (Алгебра)
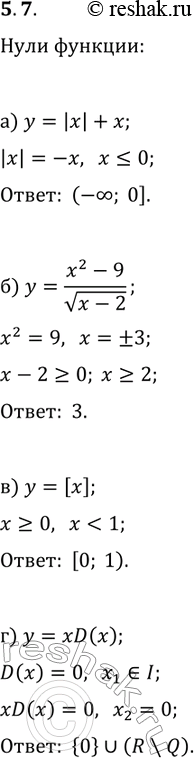
5.7. Найдите нули функции: 1) y=|x|+x; 3) y=[x]; 2) y=(x^2-9)/v(x-2); 4) y=xD(x). *Цитирирование задания со ссылкой на учебник производится исключительно в учебных целях для лучшего понимания разбора решения задания.
![Решение задачи: 5.7. Найдите нули функции: 1) y=|x|+x; 3) y=[x]; 2) y=(x^2-9)/v(x-2); 4) y=xD(x). *Цитирирование задания со ссылкой на учебник производится исключительно в учебных целях для лучшего понимания разбора решения задания.](solutions/algebra/10/635/1-5-7.png)
Ниже вариант решения задания из учебника Мерзляк, Номировский, Поляков 10 класс, Просвещение:
5.7. Найдите нули функции:
1) y=|x|+x; 3) y=[x];
2) y=(x^2-9)/v(x-2); 4) y=xD(x).
