Упражнение 8.1 ГДЗ Мерзляк 10 класс Углубленный уровень (Алгебра)
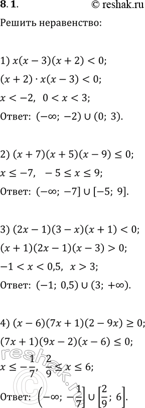
8.1. Решите неравенство: 1) x(x-3)(x+2) 2) (x+7)(x+5)(x-9)?0; 4) (x-6)(7x+1)(2-9x)?0. *Цитирирование задания со ссылкой на учебник производится исключительно в учебных целях для лучшего понимания разбора решения задания.

Ниже вариант решения задания из учебника Мерзляк, Номировский, Поляков 10 класс, Просвещение:
8.1. Решите неравенство:
1) x(x-3)(x+2)
2) (x+7)(x+5)(x-9)?0; 4) (x-6)(7x+1)(2-9x)?0.
