Упражнение 8.4 ГДЗ Мерзляк 10 класс Углубленный уровень (Алгебра)
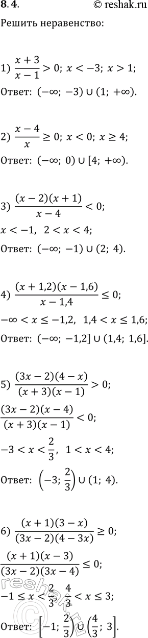
8.4. Найдите множество решений неравенства: 1) (x+3)/(x-1) > 0; 3) (x-2)(x+1)/(x-4) 0; 2) (x-4)/x?0; 4) (x+1,2)(x-1,6)/(x-1,4)?0; 6) (x+1)(3-x)/((3x-2)(4-3x))?0. *Цитирирование задания со ссылкой на учебник производится исключительно в учебных целях для лучшего понимания разбора решения задания.

Ниже вариант решения задания из учебника Мерзляк, Номировский, Поляков 10 класс, Просвещение:
8.4. Найдите множество решений неравенства:
1) (x+3)/(x-1) > 0; 3) (x-2)(x+1)/(x-4) 0;
2) (x-4)/x?0; 4) (x+1,2)(x-1,6)/(x-1,4)?0; 6) (x+1)(3-x)/((3x-2)(4-3x))?0.
