Упражнение 8.5 ГДЗ Мерзляк 10 класс Углубленный уровень (Алгебра)
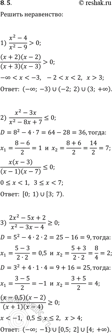
8.5. Решите неравенство: 1) (x^2-4)/(x^2-9) > 0; 2) (x^2-3x)/(x^2-8x+7)?0; 3) (2x^2-5x+2)/(x^2-3x-4)?0. *Цитирирование задания со ссылкой на учебник производится исключительно в учебных целях для лучшего понимания разбора решения задания.

Ниже вариант решения задания из учебника Мерзляк, Номировский, Поляков 10 класс, Просвещение:
8.5. Решите неравенство:
1) (x^2-4)/(x^2-9) > 0;
2) (x^2-3x)/(x^2-8x+7)?0;
3) (2x^2-5x+2)/(x^2-3x-4)?0.
