Упражнение 8.3 ГДЗ Мерзляк 10 класс Углубленный уровень (Алгебра)
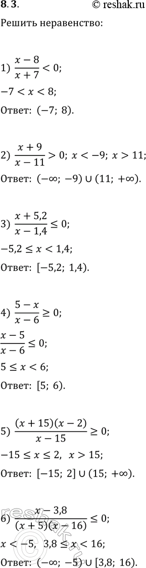
8.3. Найдите множество решений неравенства: 1) (x-8)/(x+7) 2) (x+9)/(x-11) > 0; 4) (5-x)/(x-6)?0; 6) (x-3,8)/((x+5)(x-16))?0. *Цитирирование задания со ссылкой на учебник производится исключительно в учебных целях для лучшего понимания разбора решения задания.

Ниже вариант решения задания из учебника Мерзляк, Номировский, Поляков 10 класс, Просвещение:
8.3. Найдите множество решений неравенства:
1) (x-8)/(x+7)
2) (x+9)/(x-11) > 0; 4) (5-x)/(x-6)?0; 6) (x-3,8)/((x+5)(x-16))?0.
