Упражнение 8.2 ГДЗ Мерзляк 10 класс Углубленный уровень (Алгебра)
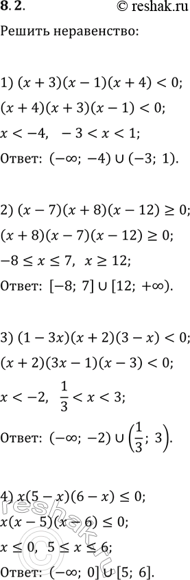
8.2. Решите неравенство: 1) (x+3)(x-1)(x+4) 2) (x-7)(x+8)(x-12)?0; 4) x(5-x)(6-x)?0. *Цитирирование задания со ссылкой на учебник производится исключительно в учебных целях для лучшего понимания разбора решения задания.

Ниже вариант решения задания из учебника Мерзляк, Номировский, Поляков 10 класс, Просвещение:
8.2. Решите неравенство:
1) (x+3)(x-1)(x+4)
2) (x-7)(x+8)(x-12)?0; 4) x(5-x)(6-x)?0.
