Упражнение 2.3 ГДЗ Мерзляк 11 класс Базовый уровень (Алгебра)
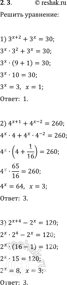
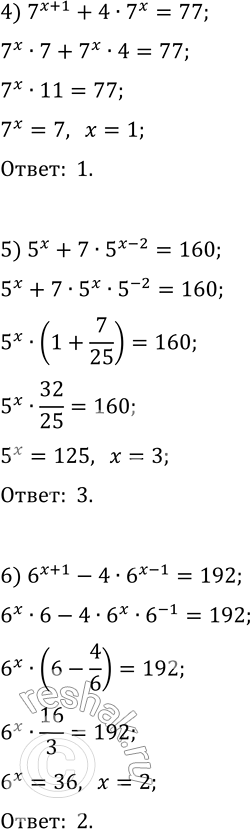
2.3. Решите уравнение: 1) 3^(x+2)+3^x=30; 4) 7^(x+1)+4·7^x=77; 2) 4^(x+1)+4^(x-2)=260; 5) 5^x+7·5^(x-2)=160; 3) 2^(x+4)-2^x=120; 6) 6^(x+1)-4·6^(x-1)=192. *Цитирирование задания со ссылкой на учебник производится исключительно в учебных целях для лучшего понимания разбора решения задания.


Ниже вариант решения задания из учебника Мерзляк, Номировский, Полонский 11 класс, Просвещение:
2.3. Решите уравнение:
1) 3^(x+2)+3^x=30; 4) 7^(x+1)+4·7^x=77;
2) 4^(x+1)+4^(x-2)=260; 5) 5^x+7·5^(x-2)=160;
3) 2^(x+4)-2^x=120; 6) 6^(x+1)-4·6^(x-1)=192.
