Упражнение 2.5 ГДЗ Мерзляк 11 класс Базовый уровень (Алгебра)
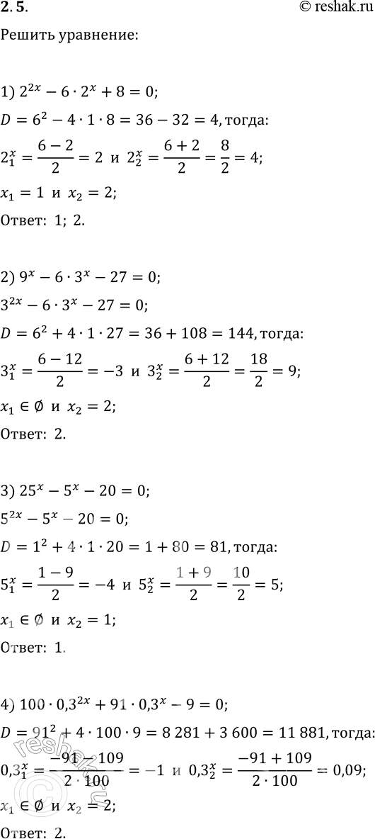
2.5. Решите уравнение: 1) 2^(2x)-6·2^x+8=0; 3) 25^x-5^x-20=0; 2) 9^x-6·3^x-27=0; 4) 100·0,3^(2x)+91·0,3^x-9=0. *Цитирирование задания со ссылкой на учебник производится исключительно в учебных целях для лучшего понимания разбора решения задания.

Ниже вариант решения задания из учебника Мерзляк, Номировский, Полонский 11 класс, Просвещение:
2.5. Решите уравнение:
1) 2^(2x)-6·2^x+8=0; 3) 25^x-5^x-20=0;
2) 9^x-6·3^x-27=0; 4) 100·0,3^(2x)+91·0,3^x-9=0.
