Упражнение 2.6 ГДЗ Мерзляк 11 класс Базовый уровень (Алгебра)
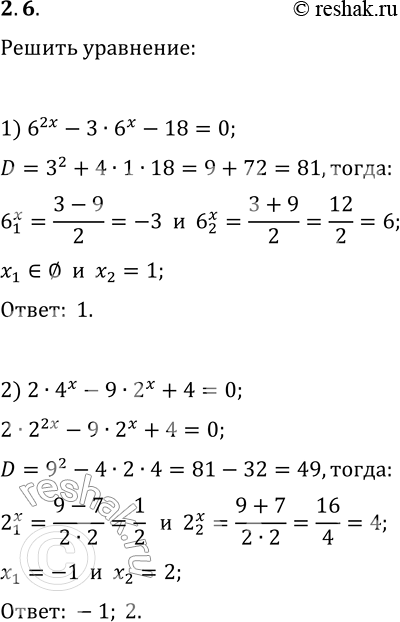
2.6. Решите уравнение: 1) 6^(2x)-3·6^x-18=0; 2) 2·4^x-9·2^x+4=0. *Цитирирование задания со ссылкой на учебник производится исключительно в учебных целях для лучшего понимания разбора решения задания.

Ниже вариант решения задания из учебника Мерзляк, Номировский, Полонский 11 класс, Просвещение:
2.6. Решите уравнение:
1) 6^(2x)-3·6^x-18=0; 2) 2·4^x-9·2^x+4=0.
