Упражнение 2.4 ГДЗ Мерзляк 11 класс Базовый уровень (Алгебра)
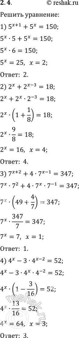
2.4. Решите уравнение: 1) 5^(x+1)+5^x=150; 3) 7^(x+2)+4·7^(x-1)=347; 2) 2^x+2^(x-3)=18; 4) 4^x-3·4^(x-2)=52. *Цитирирование задания со ссылкой на учебник производится исключительно в учебных целях для лучшего понимания разбора решения задания.

Ниже вариант решения задания из учебника Мерзляк, Номировский, Полонский 11 класс, Просвещение:
2.4. Решите уравнение:
1) 5^(x+1)+5^x=150; 3) 7^(x+2)+4·7^(x-1)=347;
2) 2^x+2^(x-3)=18; 4) 4^x-3·4^(x-2)=52.
