Упражнение 2.9 ГДЗ Мерзляк 11 класс Базовый уровень (Алгебра)
2.9. Решите уравнение: 1) 2^x+2^(x-1)+2^(x-2)=56; 2) 6·5^x-5^(x+1)-3·5^(x-1)=10; 3) 2·7^x+7^(x+2)-3·7^(x-1)=354; 4) 4^(x-2)-3·2^(2x-1)+5·2^(2x)=228; 5) 4·9^(1,5x-1)-27^(x-1)=33; 6) 0,5^(5-2x)+3·0,25^(3-x)=5; 7) 2^(2x+1)+4^x-(1/16)^(1-0,5x)=47; 8) 4·3^x-5·3^(x-1)-6·3^(x-2)=15·9^(x^2-1). *Цитирирование задания со ссылкой на учебник производится исключительно в учебных целях для лучшего понимания разбора решения задания.



Ниже вариант решения задания из учебника Мерзляк, Номировский, Полонский 11 класс, Просвещение:
2.9. Решите уравнение:
1) 2^x+2^(x-1)+2^(x-2)=56;
2) 6·5^x-5^(x+1)-3·5^(x-1)=10;
3) 2·7^x+7^(x+2)-3·7^(x-1)=354;
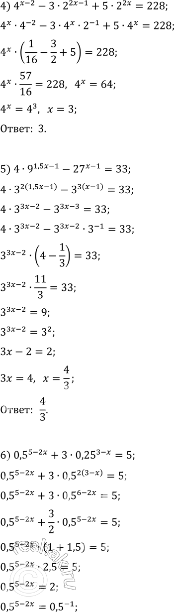
4) 4^(x-2)-3·2^(2x-1)+5·2^(2x)=228;
5) 4·9^(1,5x-1)-27^(x-1)=33;
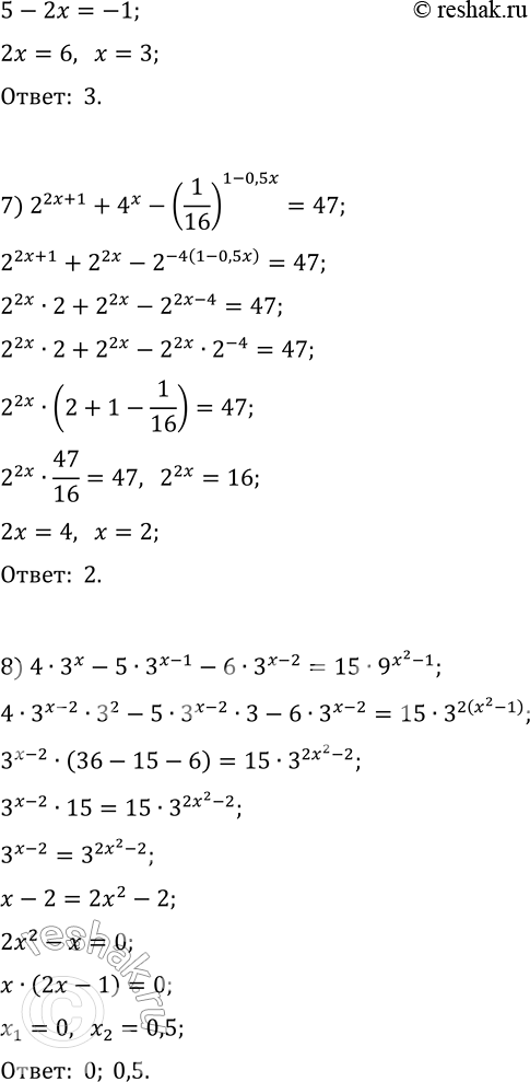
6) 0,5^(5-2x)+3·0,25^(3-x)=5;
7) 2^(2x+1)+4^x-(1/16)^(1-0,5x)=47;
8) 4·3^x-5·3^(x-1)-6·3^(x-2)=15·9^(x^2-1).
