Упражнение 2.10 ГДЗ Мерзляк 11 класс Базовый уровень (Алгебра)
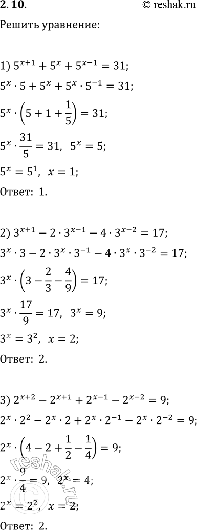
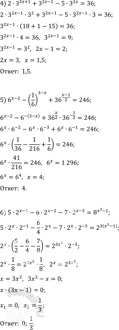
2.10. Решите уравнение: 1) 5^(x+1)+5^x+5^(x-1)=31; 2) 3^(x+1)-2·3^(x-1)-4·3^(x-2)=17; 3) 2^(x+2)-2^(x+1)+2^(x-1)-2^(x-2)=9; 4) 2·3^(2x+1)+3^(2x-1)-5·3^(2x)=36; 5) 6^(x-2)-(1/6)^(3-x)+36^((x-1)/2)=246; 6) 5·2^(x-1)-6·2^(x-2)-7·2^(x-3)=8^(x^2-1). *Цитирирование задания со ссылкой на учебник производится исключительно в учебных целях для лучшего понимания разбора решения задания.


Ниже вариант решения задания из учебника Мерзляк, Номировский, Полонский 11 класс, Просвещение:
2.10. Решите уравнение:
1) 5^(x+1)+5^x+5^(x-1)=31;
2) 3^(x+1)-2·3^(x-1)-4·3^(x-2)=17;
3) 2^(x+2)-2^(x+1)+2^(x-1)-2^(x-2)=9;
4) 2·3^(2x+1)+3^(2x-1)-5·3^(2x)=36;
5) 6^(x-2)-(1/6)^(3-x)+36^((x-1)/2)=246;
6) 5·2^(x-1)-6·2^(x-2)-7·2^(x-3)=8^(x^2-1).
