Упражнение 8.8 ГДЗ Мерзляк 11 класс Базовый уровень (Алгебра)
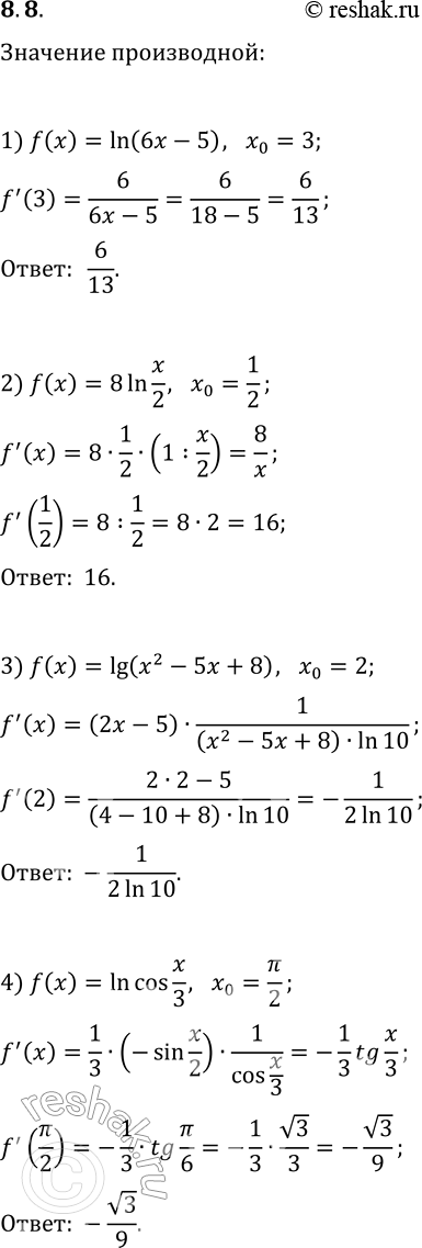
8.8. Вычислите значение производной функции f в точке х_0: 1) f(x)=ln (6x-5), x_0=3; 3) f(x)=lg (x^2-5x+8), x_0=2; 2) f(x)=8 ln (x/2), x_0=1/2;

Ниже вариант решения задания из учебника Мерзляк, Номировский, Полонский 11 класс, Просвещение:
8.8. Вычислите значение производной функции f в точке х_0:
1) f(x)=ln (6x-5), x_0=3; 3) f(x)=lg (x^2-5x+8), x_0=2;
2) f(x)=8 ln (x/2), x_0=1/2; 4) f(x)=ln cos(x/3), x_0=?/2.
