Упражнение 8.9 ГДЗ Мерзляк 11 класс Базовый уровень (Алгебра)
8.9. Найдите угловой коэффициент касательной к графику функции f в точке с абсциссой х_0: 1) f(x)=e^(2x+1), x_0=-1; 2) f(x)=x-ln x, x_0=3.

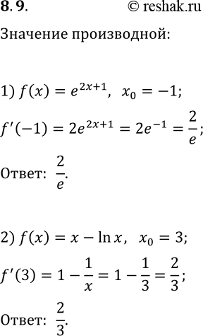
Ниже вариант решения задания из учебника Мерзляк, Номировский, Полонский 11 класс, Просвещение:
8.9. Найдите угловой коэффициент касательной к графику функции f в точке с абсциссой х_0:
1) f(x)=e^(2x+1), x_0=-1; 2) f(x)=x-ln x, x_0=3.
