Упражнение 8.7 ГДЗ Мерзляк 11 класс Базовый уровень (Алгебра)
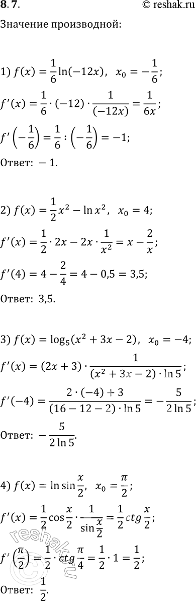
8.7. Вычислите значение производной функции f в точке х_0: 1) f(x)=1/6 ln (-12x), x_0=-1/6; 2) f(x)=1/2 x^2-ln x^2, x_0=4; 3) f(x)=log_5 (x^2+3x-2), x_0=-4;

Ниже вариант решения задания из учебника Мерзляк, Номировский, Полонский 11 класс, Просвещение:
8.7. Вычислите значение производной функции f в точке х_0:
1) f(x)=1/6 ln (-12x), x_0=-1/6;
2) f(x)=1/2 x^2-ln x^2, x_0=4;
3) f(x)=log_5 (x^2+3x-2), x_0=-4;
4) f(x)=ln sin(x/2), x_0=?/2.
