Упражнение 3.52 ГДЗ Дорофеев Суворова 7 класс (Алгебра)
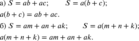
Составьте два выражения для вычисления площади фигуры (рис. 3.8, а, б) и покажите, как одно из этих выражений можно преобразовать в другое.

Ниже вариант решения задания из учебника Дорофеев, Суворова, Бунимович 7 класс, Просвещение:
Составьте два выражения для вычисления площади фигуры (рис. 3.8, а, б) и покажите, как одно из этих выражений можно преобразовать в другое.
