Упражнение 3.53 ГДЗ Дорофеев Суворова 7 класс (Алгебра)
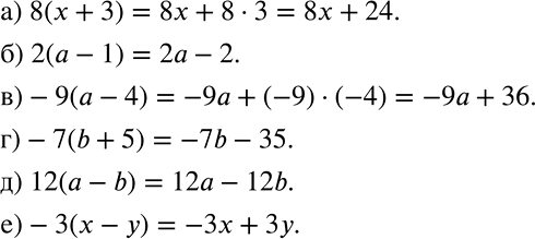
Раскройте скобки в произведении: а) 8(х + 3); б) 2(а - 1); в) -9(а - 4); г) -7(b + 5); д) 12(а - b);

Ниже вариант решения задания из учебника Дорофеев, Суворова, Бунимович 7 класс, Просвещение:
Раскройте скобки в произведении:
а) 8(х + 3);
б) 2(а - 1);
в) -9(а - 4);
г) -7(b + 5);
д) 12(а - b);
е) -3(х - у).
