Упражнение 3.54 ГДЗ Дорофеев Суворова 7 класс (Алгебра)
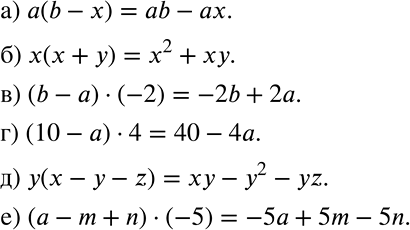
Выполните умножение: а) a(b-x); б) х(х + у); в) (b - а) * (-2); г) (10-а) * 4; д) у(х - у - z);

Ниже вариант решения задания из учебника Дорофеев, Суворова, Бунимович 7 класс, Просвещение:
Выполните умножение:
а) a(b-x);
б) х(х + у);
в) (b - а) * (-2);
г) (10-а) * 4;
д) у(х - у - z);
е) (а - m + n) * (-5).
