Упражнение 6.119 ГДЗ Дорофеев Суворова 7 класс (Алгебра)
Упростите выражение: а) (7 - 2х - х2) - (x - 2)(х + 3); б) (3m2 + 3n2) - (2m + n)(m + 2n);

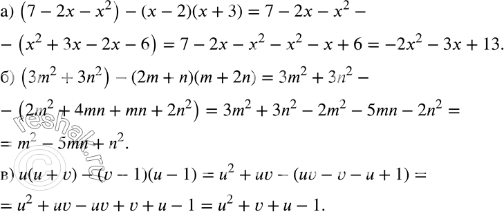
Ниже вариант решения задания из учебника Дорофеев, Суворова, Бунимович 7 класс, Просвещение:
Упростите выражение:
а) (7 - 2х - х2) - (x - 2)(х + 3);
б) (3m2 + 3n2) - (2m + n)(m + 2n);
в) u(u + v) - (v - 1)(а - 1).
