Упражнение 6.118 ГДЗ Дорофеев Суворова 7 класс (Алгебра)
Представьте в виде многочлена: а) (y-1)(y2+2y-1); б) (z2 + 3z + 2)(z - 5); в) (а + b)(a2 - ab + b2);

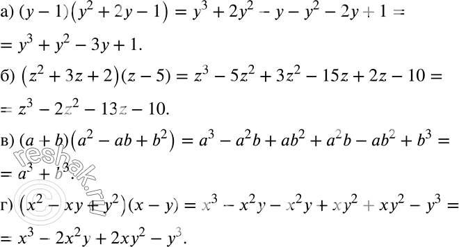
Ниже вариант решения задания из учебника Дорофеев, Суворова, Бунимович 7 класс, Просвещение:
Представьте в виде многочлена:
а) (y-1)(y2+2y-1);
б) (z2 + 3z + 2)(z - 5);
в) (а + b)(a2 - ab + b2);
г) (х2 - ху + у2)(х - у).
