Упражнение 6.23 ГДЗ Дорофеев Суворова 7 класс (Алгебра)
Возведите в квадрат и в куб выражение: а) 2^2, (-2)2, -2^2; б) 2^3, (-2)3, -2^3. *Цитирирование задания со ссылкой на учебник производится исключительно в учебных целях для лучшего понимания разбора решения задания.

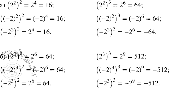
Ниже вариант решения задания из учебника Дорофеев, Суворова, Бунимович 7 класс, Просвещение:
Возведите в квадрат и в куб выражение:
а) 2^2, (-2)2, -2^2;
б) 2^3, (-2)3, -2^3.
