Упражнение 6.27 ГДЗ Дорофеев Суворова 7 класс (Алгебра)
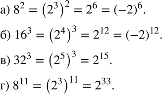
Применяем алгебру Представьте в виде степени с основанием 2 и, если возможно, с основанием -2: а) 8^2; б) 16^3; в) 32^3;

Ниже вариант решения задания из учебника Дорофеев, Суворова, Бунимович 7 класс, Просвещение:
Применяем алгебру Представьте в виде степени с основанием 2 и, если возможно, с основанием -2:
а) 8^2; б) 16^3; в) 32^3; г) 8^11.
