Упражнение 6.24 ГДЗ Дорофеев Суворова 7 класс (Алгебра)
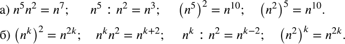
Представьте выражение в виде степени с основанием n: а) n5n2, n5 : n2, (n5)2, (n2)5; б) (nk)2, nkn2, nk : n2, (n2)k.

Ниже вариант решения задания из учебника Дорофеев, Суворова, Бунимович 7 класс, Просвещение:
Представьте выражение в виде степени с основанием n:
а) n5n2, n5 : n2, (n5)2, (n2)5;
б) (nk)2, nkn2, nk : n2, (n2)k.
