Упражнение 6.25 ГДЗ Дорофеев Суворова 7 класс (Алгебра)
Упростите выражение: а) а(а^2)^3; б) c^2 c^5 (c^2)^5; в) (k^10 k^2)^3; г) (x^7/x^2)^5; д) y^10/(y^2)^4. *Цитирирование задания со ссылкой на учебник производится исключительно в учебных целях для лучшего понимания разбора решения задания.

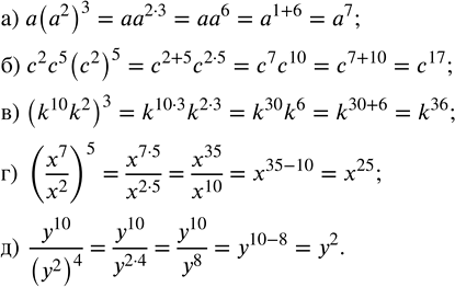
Ниже вариант решения задания из учебника Дорофеев, Суворова, Бунимович 7 класс, Просвещение:
Упростите выражение:
а) а(а^2)^3;
б) c^2 c^5 (c^2)^5;
в) (k^10 k^2)^3;
г) (x^7/x^2)^5;
д) y^10/(y^2)^4.
