Упражнение 6.26 ГДЗ Дорофеев Суворова 7 класс (Алгебра)
Представьте a30 а в виде степени с основанием: а) а2; б) а3; в) а5; г) а10. *Цитирирование задания со ссылкой на учебник производится исключительно в учебных целях для лучшего понимания разбора решения задания.

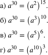
Ниже вариант решения задания из учебника Дорофеев, Суворова, Бунимович 7 класс, Просвещение:
Представьте a30 а в виде степени с основанием:
а) а2;
б) а3;
в) а5;
г) а10.
