Упражнение 7.9 ГДЗ Дорофеев Суворова 7 класс (Алгебра)
Вынесите за скобки множитель -3а: а) -3а2 + 3аb; б) -3а - 3а2с; в) -3аx + 6ау; г) 3а - 3аb;

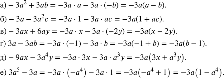
Ниже вариант решения задания из учебника Дорофеев, Суворова, Бунимович 7 класс, Просвещение:
Вынесите за скобки множитель -3а:
а) -3а2 + 3аb;
б) -3а - 3а2с;
в) -3аx + 6ау;
г) 3а - 3аb;
д) -9аx - 3а4у;
е) 3а5 - 3а.
Подсказка. Каждый член двучлена представьте в виде произведения, в котором есть множитель -3а.
