Упражнение 7.8 ГДЗ Дорофеев Суворова 7 класс (Алгебра)
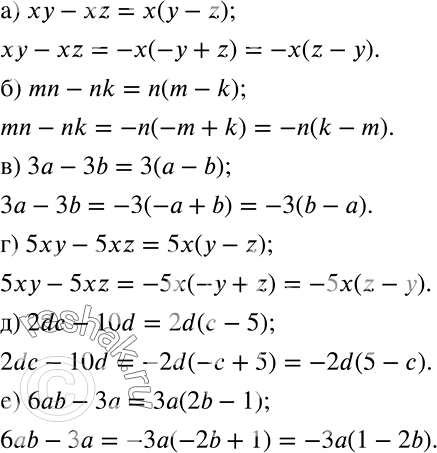
Представьте выражение в виде произведения двумя способами по следующему образцу: ab - ас = a(b - с), ab - ас = -а(-b + с) = -а(с - b):

Ниже вариант решения задания из учебника Дорофеев, Суворова, Бунимович 7 класс, Просвещение:
Представьте выражение в виде произведения двумя способами по следующему образцу:
ab - ас = a(b - с), ab - ас = -а(-b + с) = -а(с - b):
а) ху - xz;
б) mn - nk;
в) 3а - 3b;
г) 5ху - 5хz;
д) 2dc - 10d;
е) 6аb - 3а.
