Упражнение 7.64 ГДЗ Дорофеев Суворова 7 класс (Алгебра)
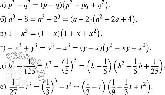
а) р3 - q3; б) а3 - q3; в) 1 - x3; г) -x3 + у3; д) b3 - 1/125; е) 1/27 - t3.

Ниже вариант решения задания из учебника Дорофеев, Суворова, Бунимович 7 класс, Просвещение:
а) р3 - q3;
б) а3 - q3;
в) 1 - x3;
г) -x3 + у3;
д) b3 - 1/125;
е) 1/27 - t3.
