Упражнение 7.66 ГДЗ Дорофеев Суворова 7 класс (Алгебра)
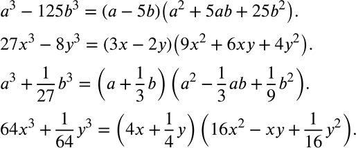
РАССУЖДАЕМ Составьте выражения, которые можно разложить на множители с помощью формул суммы кубов или разности кубов, и выполните эти преобразования. *Цитирирование задания со ссылкой на учебник производится исключительно в учебных целях для лучшего понимания разбора решения задания.

Ниже вариант решения задания из учебника Дорофеев, Суворова, Бунимович 7 класс, Просвещение:
РАССУЖДАЕМ Составьте выражения, которые можно разложить на множители с помощью формул суммы кубов или разности кубов, и выполните эти преобразования.
