Упражнение 7.69 ГДЗ Дорофеев Суворова 7 класс (Алгебра)
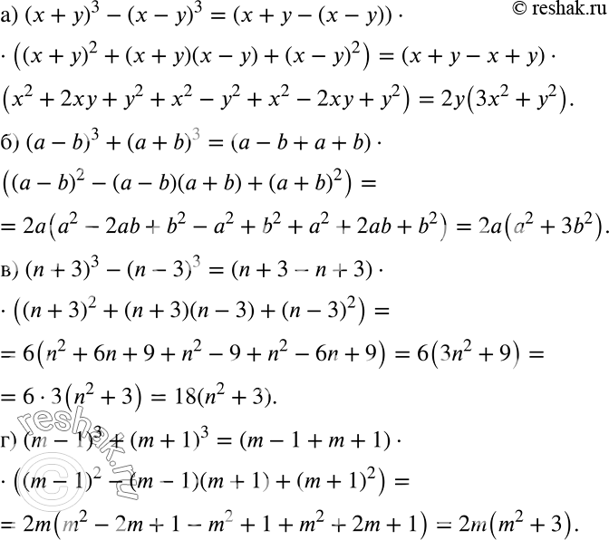
a) (x + y)3 -(x- y)3; Р±) (a - b)3 + (a + b)3; РІ) (n + 3)3 - (n - 3)3;

Ниже вариант решения задания из учебника Дорофеев, Суворова, Бунимович 7 класс, Просвещение:
a) (x + y)3 -(x- y)3;
Р±) (a - b)3 + (a + b)3;
РІ) (n + 3)3 - (n - 3)3;
Рі) (m - 1)3 + (m + 1)3.
