Упражнение 7.68 ГДЗ Дорофеев Суворова 7 класс (Алгебра)
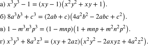
Разложите на множители (878—879). 878 a) x3y3 - 1; б) 8a3b3 + с8; в) 1 - m3n3p3; r) x3y3 + 8a3z3.

Ниже вариант решения задания из учебника Дорофеев, Суворова, Бунимович 7 класс, Просвещение:
Разложите на множители (878—879).
878 a) x3y3 - 1;
б) 8a3b3 + с8;
в) 1 - m3n3p3;
r) x3y3 + 8a3z3.
