Упражнение 7.71 ГДЗ Дорофеев Суворова 7 класс (Алгебра)
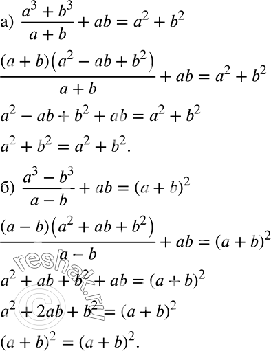
Доказываем Докажите, что: а) (a3+b3)/(a+b) + ab = a2 + b2; б) (a3-b3)/(a-b) + ab = (a+b)2. *Цитирирование задания со ссылкой на учебник производится исключительно в учебных целях для лучшего понимания разбора решения задания.

Ниже вариант решения задания из учебника Дорофеев, Суворова, Бунимович 7 класс, Просвещение:
Доказываем Докажите, что:
а) (a3+b3)/(a+b) + ab = a2 + b2;
б) (a3-b3)/(a-b) + ab = (a+b)2.
