Упражнение 7.70 ГДЗ Дорофеев Суворова 7 класс (Алгебра)
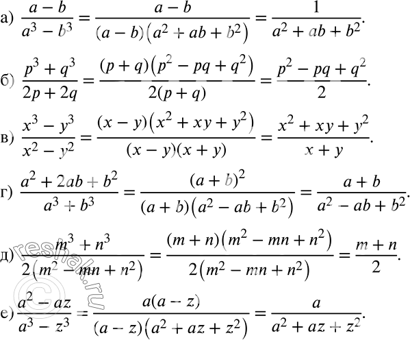
Сократите дробь: а) (a-b)/(a3-b3); б) (p3 + q3)/(2p+2q); в) (x3-y3)/(x2-y2); г) (a2+2ab + b2)/(a3+b3); д) (m3+n3)/(2(m2 - mn + n2)); е) (a2-az)/(a3-z3).

Ниже вариант решения задания из учебника Дорофеев, Суворова, Бунимович 7 класс, Просвещение:
Сократите дробь:
а) (a-b)/(a3-b3);
б) (p3 + q3)/(2p+2q);
в) (x3-y3)/(x2-y2);
г) (a2+2ab + b2)/(a3+b3);
д) (m3+n3)/(2(m2 - mn + n2));
е) (a2-az)/(a3-z3).
