Упражнение 7.67 ГДЗ Дорофеев Суворова 7 класс (Алгебра)
Упростите выражение: а) (а - b)(a2 + ab + b2) + (а + b)(a2 - ab + b2); б) (x + 2)(x2 - 2x + 4) - (x - 2)(x2 + 2x + 4);

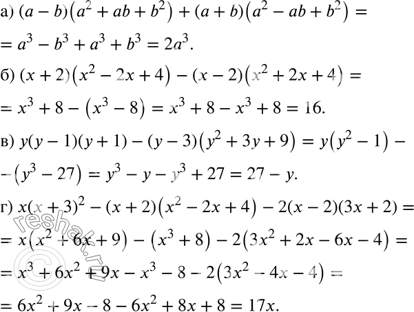
Ниже вариант решения задания из учебника Дорофеев, Суворова, Бунимович 7 класс, Просвещение:
Упростите выражение:
а) (а - b)(a2 + ab + b2) + (а + b)(a2 - ab + b2);
б) (x + 2)(x2 - 2x + 4) - (x - 2)(x2 + 2x + 4);
в) y(y - 1 )(y + 1)- (y - 3)(y2 + 3y + 9);
г) x(x + 3)2 - (x + 2)(x2 - 2x + 4) - 2(x - 2)(3x + 2).
