Упражнение 7.72 ГДЗ Дорофеев Суворова 7 класс (Алгебра)
Выполните умножение: а) (m + 1)((m2 - m + 1) + 3); б) (х + 1)(х2 - х + 7); в) (а + b)(а2 - 3аb + b2) г) (р - q)(p2 + 3pq + q2).

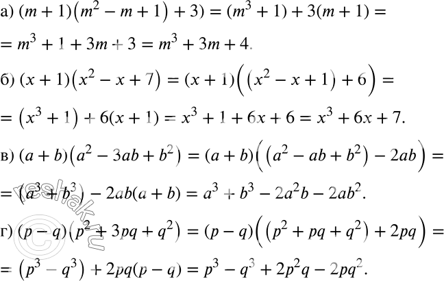
Ниже вариант решения задания из учебника Дорофеев, Суворова, Бунимович 7 класс, Просвещение:
Выполните умножение:
а) (m + 1)((m2 - m + 1) + 3);
б) (х + 1)(х2 - х + 7);
в) (а + b)(а2 - 3аb + b2)
г) (р - q)(p2 + 3pq + q2).
Подсказка. Преобразуйте второй многочлен так, чтобы можно было применить формулу разности или суммы кубов. Например, так:
(с - 1)(с2 + с + 3) - (с - 1)((с2 + с + 1) + 2) - (с8 - 1) + 2(с - 1) = с3 - 1 + 2с- 2 = с3 + 2с- 3.
