Упражнение 7.75 ГДЗ Дорофеев Суворова 7 класс (Алгебра)
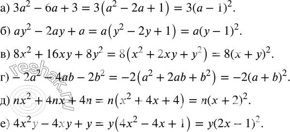
а) 3а2 - 6а + 3; б) ау2 - 2ау + а; в) 8z2 + 16ху + 8у2; г) -2а2 - 4ab - 2b2;

Ниже вариант решения задания из учебника Дорофеев, Суворова, Бунимович 7 класс, Просвещение:
а) 3а2 - 6а + 3;
б) ау2 - 2ау + а;
в) 8z2 + 16ху + 8у2;
г) -2а2 - 4ab - 2b2;
д) nх2 + 4nх + 4n;
е) 4х2у - 4ху + у.
