Упражнение 7.78 ГДЗ Дорофеев Суворова 7 класс (Алгебра)
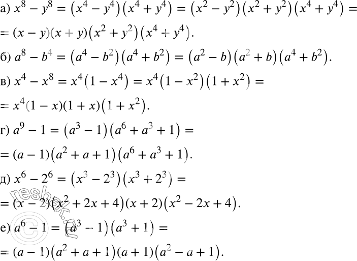
Разложите на множители (888—895). 888 а) x8 - у8; б) а8 - b4; в) x4 - x8; г) а9 - 1;

Ниже вариант решения задания из учебника Дорофеев, Суворова, Бунимович 7 класс, Просвещение:
Разложите на множители (888—895).
888 а) x8 - у8;
б) а8 - b4;
в) x4 - x8;
г) а9 - 1;
д) x6 - 2^6;
е) а6 - 1.
