Упражнение 7.79 ГДЗ Дорофеев Суворова 7 класс (Алгебра)
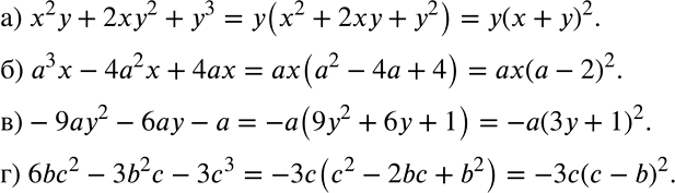
а) х2у + 2 ху2 + у3; б) а2x - 4а2x + 4аx; в) -9ау2 - 6ау - а; г) 6bс2 - 3b2с - 3с8.

Ниже вариант решения задания из учебника Дорофеев, Суворова, Бунимович 7 класс, Просвещение:
а) х2у + 2 ху2 + у3;
б) а2x - 4а2x + 4аx;
в) -9ау2 - 6ау - а;
г) 6bс2 - 3b2с - 3с8.
