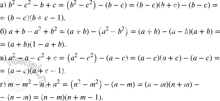
Упражнение 7.80 ГДЗ Дорофеев Суворова 7 класс (Алгебра)
а) b2 - с2 - b + с; б) а + b - а2 + b2; в) а2 - а - с2 + с;

Ниже вариант решения задания из учебника Дорофеев, Суворова, Бунимович 7 класс, Просвещение:
а) b2 - с2 - b + с;
б) а + b - а2 + b2;
в) а2 - а - с2 + с;
г) m - m2 — n + n2.
