Упражнение 7.76 ГДЗ Дорофеев Суворова 7 класс (Алгебра)
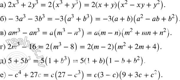
а) 2x3 + 2у3; б) -3а3 - 3b3; в) am3 - аn3; г) 2m3 - 16; Д) 5 + 5b3; е) -с4 + 27с.

Ниже вариант решения задания из учебника Дорофеев, Суворова, Бунимович 7 класс, Просвещение:
а) 2x3 + 2у3;
б) -3а3 - 3b3;
в) am3 - аn3;
г) 2m3 - 16;
Д) 5 + 5b3;
е) -с4 + 27с.
