Упражнение 7.77 ГДЗ Дорофеев Суворова 7 класс (Алгебра)
a) а4 - b4; б) x4 - x2; в) а4 - 16; г) а4 - 9а2; д) 1 - с4; е) x2 - 16x4.

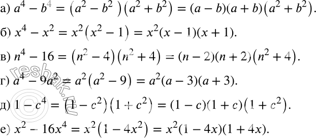
Ниже вариант решения задания из учебника Дорофеев, Суворова, Бунимович 7 класс, Просвещение:
a) а4 - b4;
б) x4 - x2;
в) а4 - 16;
г) а4 - 9а2;
д) 1 - с4;
е) x2 - 16x4.
