Проверьте себя (тест) Глава 6 ГДЗ Дорофеев Суворова 7 класс (Алгебра)
Упростите выражение a^2 b^3 aba^3. 2. Выполните умножение а^2 · а^n. 3. Значение какого из выражений равно 2^11? 1) 2^12 - 2 2) 2^12 :





Ниже вариант решения задания из учебника Дорофеев, Суворова, Бунимович 7 класс, Просвещение:
Упростите выражение a^2 b^3 aba^3.
2. Выполните умножение а^2 · а^n.
3. Значение какого из выражений равно 2^11?
1) 2^12 - 2 2) 2^12 : 2 3) 2^22 : 2 4) 2^22 : 2^2
4. Какая из дробей равна выражению а^(k-1)?
1) a^k/a 2) a^(k-1)/a 3) a^(k+1)/a^(k-1) 4) a^k/a^(k-1).
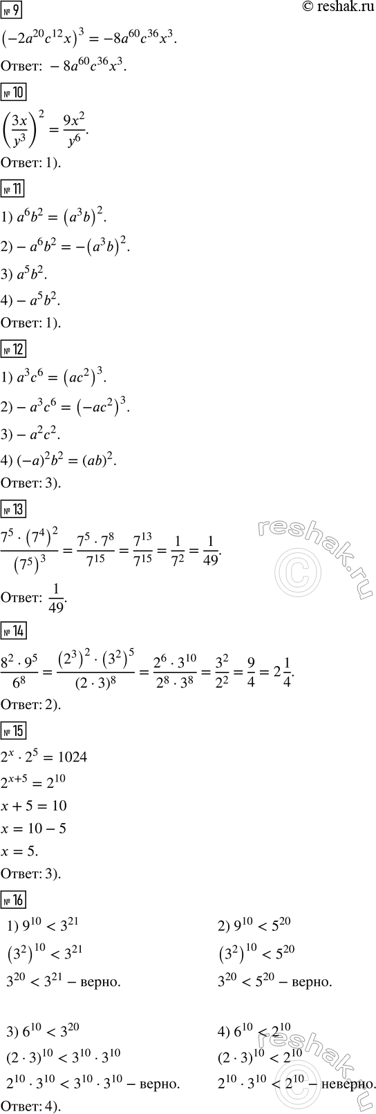
5. Для каждого выражения из верхней строки укажите равное ему выражение из нижней строки.
А) а^10 · а^2 Б) (а^10)^2 В) а^10 : а^2 Г) (а · а^10)^2
1) а^5 2) а^8 3) а^12 4) а^20 5) а^22
6. Известно, что 5^5 = 3125. Найдите 5^6.
7. Упростите выражение (a^9 · a^3)/a^10 и найдите его значение при а = -1/3.
8. Упростите выражение (-х)^2 (-х)^3 (-х^3)^2.
1) x^36 2) -х^36 3) х^11 4) -х^11
9. Возведите в куб выражение -2а^20 с^12 х.
10. Выполните действие (3x/y^3)^2.
1) 9x^2/y^6 2) 6x^2/y^6 3) 3x^2/y^3 4) 3x^2/y^6
11. Какое из данных выражений можно представить в виде (a^3 b)^2?
1) а^6 b^2 2) -a^6 b^2 3) a^5 b^2 4) -а^5 b^2
12. Какое из данных выражений нельзя представить ни в виде квадрата, ни в виде куба?
1) а^3 с^6 2) -а^3 с^6 3) -а^2 с^2 4) (-а)^2 b^2
13. Вычислите (7^5 · (7^4)^2)/(7^5)^3.
14. Найдите значение выражения (8^2 · 9^5)/6^8.
1) 1/24 2) 2 1/4 3) 1 1/2 4) 1296
15. При каком значении х верно равенство 2^x · 2^5 = 1024?
1) при х = 2 2) при х = 3 3) при х = 5 4) при х = 10
16. Какое из следующих неравенств неверно?
1) 9^10
17. Какому из выражений равна сумма 5^n + 5^n + 5^n + 5^n + 5^n?
1) 5^(n+1) 2) 5^(5n) 3) (5^n)^5 4) 5^(n+5)
18. Найдите значение выражения 6а^2 - 2а - 1 при а = - 1/4.
19. Чему равна степень многочлена 0,3х^2 - 2х^4 + 1,2?
1) 2 2) 3 3) 4 4) 6
20. Какую степень имеет многочлен, равный произведению многочленов (x^2 + 3)(x^3 + 2х - 1)?
1) 2 2) 3 3) 5 4) 6
21. Упростите выражение 2x^2 у - ху^2 + x^2 у - 3ху^2 + 2ху.
22. Среди выражений, записанных ниже, найдите выражение, равное многочлену 2х - 3y - z.
1) -(2х - 3у - z) 3) -(3у - 2х + z)
2) -(2x + 3у + z) 4) -(3у + 2х - z)
23. Среди приведённых ниже выражений найдите выражение, противоположное многочлену 5а - 8b + 1.
1) 5а + 8b - 1 3) -5а + 8b + 1
2) -5а + 8b - 1 4) -5а - 8b - 1
24. Какой многочлен надо записать вместо многоточия, чтобы равенство (-m + n - q) + ... = 0 было верным?
1) m - n + q 3) m + n - q
2) m - n - q 4) -m - n + q
25. Найдите сумму многочленов 2x^3 - 2x и -x^2 + 2x - 1.
26. В выражение p - q подставьте p = 12ab - 15ac, q = 10ab - 15ac + 2bc и упростите получившееся выражение.
27. Упростите выражение 5а^2 - 5а(а - 2).
28. Собственная скоросгь катера v км/ч, скорость течения реки а км/ч. Катер плыл 3 ч по течению реки и 3 ч против течения. Какое из следующих утверждений верно?
1) за всё время он проплыл такое же расстояние, как плот по течению за 6 ч
2) за всё время он проплыл такое же расстояние, как за 3 ч в стоячей воде
3) за всё время он проплыл такое же расстояние, как за 6 ч в стоячей воде
4) по течению он проплыл такое же расстояние, как против течения
29. Выполните умножение (2а + 3)(4а - 6).
30. Какое из выражений противоположно произведению (а - b)(а - с)?
1) (b - а)(с - а) 3) (b - а)(а - с)
2) -(а - b)(с - а) 4) -(b - а)(а - с)
31. Раскройте скобки в выражении (2х - 5y)^2.
1) 4х^2 - 25y^2 3) 4x^2 - 10xу + 25y^2
2) 2х^2 - 10ху + 5y^2 4) 4x^2 - 20ху + 25y^2
32. Упростите выражение 3(m - 2)^2 + 12m.
33. Даны выражения:
А) (а - 5)^2 Б) (5 - а)^2 В) -(а - 5)^2 Г) -(5 - a)^2
Какие из них равны произведению (а - 5)(5 - а)?
1) А и Б 2) А и В 3) Б и Г 4) В и Г
34. Упростите выражение (1 + xy)^2 - (1 - ху)^2.
1) 0 2) 2ху + 2х^2 у^2 3) 2х^2 у^2 4) 4ху
35. Решите уравнение 2(х - 1) - 7 = 5х - 5.
36. Из палаточного лагеря к станции вышел турист со скоростью 6 км/ч. Через 15 мин вслед за ним выехал велосипедист со скоростью 12 км/ч, обогнал туриста и приехал на станцию на 5 мин раньше его. Чему равно расстояние от лагеря до станции?
Какое из следующих уравнений соответствует условию задачи, если буквой х в нём обозначено время движения туриста в часах?
1) 12x = б(х + 1/3) 3) 12х = б(х - 1/6)
2) 6х = 12(x - 1/3) 4) 6x = 12(х + 1/6)
37. Найдите ответ на вопрос задачи, сформулированной в задании 36.
1) 2/3 км 2) 4 км 3) 1/3 км 4) 2 км
