Упражнение 7.4 ГДЗ Дорофеев Суворова 7 класс (Алгебра)
Найдите значение выражения ax - ay + az: а) при a = 58, x = 96, у = 12, z = 16;

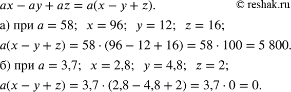
Ниже вариант решения задания из учебника Дорофеев, Суворова, Бунимович 7 класс, Просвещение:
Найдите значение выражения ax - ay + az:
а) при a = 58, x = 96, у = 12, z = 16;
б) при a = 3,7, x = 2,8, у = 4,8, z = 2.
