Упражнение 7.2 ГДЗ Дорофеев Суворова 7 класс (Алгебра)
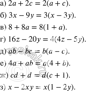
Вынесите общий множитель за скобки (812—813). 812 а) 2a + 2c; б) 3x - 9y; в) 8 + 8а; г) 16z - 20y;

Ниже вариант решения задания из учебника Дорофеев, Суворова, Бунимович 7 класс, Просвещение:
Вынесите общий множитель за скобки (812—813).
812 а) 2a + 2c;
б) 3x - 9y;
в) 8 + 8а;
г) 16z - 20y;
д) ab - bс;
е) 4а + ab,
ж) cd + d;
з) x - 2y.
