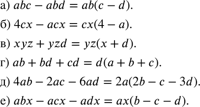
Упражнение 7.3 ГДЗ Дорофеев Суворова 7 класс (Алгебра)
a) abc - abd; б) 4cx - асх; в) xyz + yzd; г) ad + bd + cd; д) 4ab - 2ac - 6ad;

Ниже вариант решения задания из учебника Дорофеев, Суворова, Бунимович 7 класс, Просвещение:
a) abc - abd;
б) 4cx - асх;
в) xyz + yzd;
г) ad + bd + cd;
д) 4ab - 2ac - 6ad;
e) abx - acx - adx.
