Упражнение 7.1 ГДЗ Дорофеев Суворова 7 класс (Алгебра)
Вынесите общий множитель за скобки и вычислите значение выражения: а) 5 * 47 + 5 * 13; б) 127 * 9 - 27 * 9;

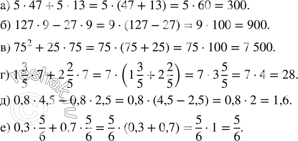
Ниже вариант решения задания из учебника Дорофеев, Суворова, Бунимович 7 класс, Просвещение:
Вынесите общий множитель за скобки и вычислите значение выражения:
а) 5 * 47 + 5 * 13;
б) 127 * 9 - 27 * 9;
в) 75^2 + 25 * 75;
г) 1*3/5 * 7 + 2*2/5 * 7;
д) 0,8 * 4,5 - 0,8 * 2,5;
е) 0,3 * 5/6 + 0,7 * 5/6.
